Изображение:Svr Poisson2.png
Материал из MachineLearning.
Размер при предпросмотре: 800 × 435 пикселов
Изображение в более высоком разрешении (1281 × 696 пикселов, размер файла: 9 КБ, MIME-тип: image/png)
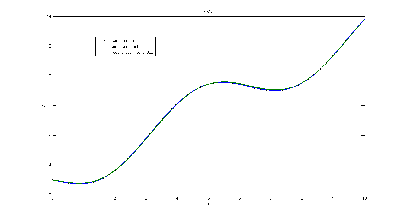
Работа алгоритма svm регрессии при низких значениях дисперсии
История файла
Нажмите на дату/время, чтобы просмотреть как тогда выглядел файл.
| Дата/время | Участник | Размер объекта | Размер файла | Примечание | |
|---|---|---|---|---|---|
| текущий | 22:23, 28 апреля 2010 | Korial (Обсуждение | вклад) | 1281 × 696 | 9 КБ | Работа алгоритма svm регрессии при низких значениях дисперсии |
- Редактировать этот файл, используя внешнюю программу
Подробности см. на странице Meta:Help:External_editors.
Ссылки
Следующие страницы ссылаются на данный файл:

