Анализ мультиколлинеарности (пример)
Материал из MachineLearning.
м (→Пример 1) |
м (→Пример 1) |
||
| Строка 79: | Строка 79: | ||
Используются два ортогональных признака <tex>x_1</tex>, <tex>x_2</tex> и третий признак <tex>y_1</tex> зависящий от параметра <tex>k</tex>. При <tex>k=0</tex> все признаки ортогональны, при увеличении <tex>k</tex> зависимый признак <tex>y_1</tex> приближается к <tex>x_1</tex>, вплоть до полной коллинеарности при <tex>k=1</tex>. | Используются два ортогональных признака <tex>x_1</tex>, <tex>x_2</tex> и третий признак <tex>y_1</tex> зависящий от параметра <tex>k</tex>. При <tex>k=0</tex> все признаки ортогональны, при увеличении <tex>k</tex> зависимый признак <tex>y_1</tex> приближается к <tex>x_1</tex>, вплоть до полной коллинеарности при <tex>k=1</tex>. | ||
Зависимость VIF от параметра:<br/> | Зависимость VIF от параметра:<br/> | ||
| - | [[Изображение:plot3vif.jpg| | + | [[Изображение:plot3vif.jpg|450px]]<br/> |
Как видно из графика VIF <tex>x_1</tex> и <tex>y_1</tex> растет вплоть до бесконечности при <tex>k=1</tex>, VIF <tex>x_2</tex> при этом не изменен и равен 1.<br/> | Как видно из графика VIF <tex>x_1</tex> и <tex>y_1</tex> растет вплоть до бесконечности при <tex>k=1</tex>, VIF <tex>x_2</tex> при этом не изменен и равен 1.<br/> | ||
Зависимость индексов обусловленности <tex>{\eta}_{i}</tex> от <tex>k</tex>:<br/> | Зависимость индексов обусловленности <tex>{\eta}_{i}</tex> от <tex>k</tex>:<br/> | ||
| - | [[Изображение:plot3sci.jpg| | + | [[Изображение:plot3sci.jpg|450px]]<br/> |
Таблица дисперсионных долей:<br/> | Таблица дисперсионных долей:<br/> | ||
{| | {| | ||
Версия 19:47, 1 октября 2010
Мультиколлинеарность — тесная корреляционная взаимосвязь между отбираемыми для анализа факторами, совместно воздействующими на общий результат, которая затрудняет оценивание регрессионных параметров.
Содержание |
Постановка задачи
Задана выборка признаков и зависимой переменной. Рассматривается линейная регрессионная модель вида:
Предполагается, что вектор регрессионных невязок имеет нулевое математическое ожидание и дисперсию
.
Требуется создать инструмент исследования мультиколлинеарности признаков (методики VIF, Belsley) и проверить его работу на модельных данных.
Описание алгоритма
Фактор инфляции дисперсии (VIF)
В задаче восстановления регрессии фактор инфляции дисперсии (VIF) — мера мультиколлинеарности. Он позволяет оценить увеличение дисперсии заданного коэффициента регрессии, происходящее из-за высокой корреляции данных.
Дисперсия может быть выражена как:
Первая дробь связана с дисперсией невязок и дисперсией векторов признаков. Вторая — фактор инфляции дисперсии, связанный с корреляцей данного признака с другими:
где — коэффициент детерминации j-го признака относительно остальных - фактически он содержит информацию о том, насколько точно можно построить регрессию для j-го признака относительно остальных, т.е его зависимость от них.
Равенство единице фактора инфляции дисперсии говорит об ортогональности вектора значений признака остальным. Если значение велико, то
— мало, то есть
близко к 1. Большие значения фактора инфляции дисперсии соответствуют почти линейной зависимости j-го столбца от остальных.
Методика Belsley, Kuh, и Welsch (BKW)
Диагностика коллинеарности BKW основана на двух элементах, относящихся к матрице данных
использующейся в линейной регрессии
: индексы обусловленности(the scaled condition indexes) и дисперсионные доли(the variance-decomposition proportions). Оба этих диагностических элемента могут быть получены из сингулярного разложения (SVD) матрицы
:
, где
и
- диагональная с неотрицательными элементами
называющимися сингулярными числами
. Индексы обусловленности это:
,
для всех
. Большое значение
указывает на зависимость близкую к линейной между признаками и чем больше
тем сильнее зависимость. Дисперсионные доли находятся из того факта, что используя SVD ковариационная матрица метода наименьших квадратов
может записана как:
где это дисперсия возмущения
. Таким образом дисперсия
-го регрессионного коэффициента
это
-й диогональный элемент (3):
где - сингулярные значения
и
.
Определим
-е дисперсионное соотношение как долю дисперсии
-го регрессионного коэффициента связанная с
-м компонентом его разложения (4). Доля считается как:
,
,
Дисперсионное соотношение:
,
Данные удобно представить в виде таблицы:
| Condition index | ||||
|---|---|---|---|---|
| | | | ... | |
| | | ... | ... | |
| . | . | . | . | |
| . | . | . | . | |
| . | . | . | . | |
| | | | ... | |
Перед использованием BKW необходимо отмасштабировать матрицу . Стандартно применяется приведение столбцов к одинаковой длинне(норму). Будем рассматривать отмасштабированные индексы обусловленности
:
,
Алгоритм BKW
1. Стандартизация столбцов матрицы.
2. Вычисление индексов обусловленности и дисперсионных долей.
3. Определение количества зависимостей.
Превышение индексом обусловленности выбраного заранее порога означает наличие зависимости между признаками.
Относительная сила зависимости определяется положение значения индекса обусловленности в прогресии 1, 3, 10, 30, 100, 300, 1000 итд.
4. Определение признаков участвующих в зависимости.
2 случая :
1) Только один достаточно большой индекс обусловленности - тогда возможно определение участвующих в зависимости признаков из дисперсионных долей: признак считается вовлеченным если его дисперсионная доля связанная с этим индексом превышает выбранный порог (обычно 0.25).
2) Есть несколько больших индексов обусловленности. В этом случае вовлеченность признака в зависимость определяется по сумме его дисперсионных долей отвечающих большим значениям индекса обусловленности - когда сумма превышает порог признак участвует как минимум в одной линейной зависимости.
Вычислительный эксперимент
В эксперименте используются модельные данные, для которых вычисляется VIF и матрица Belsley в зависимоти от параметра определяющего степень коллинеарности между признаками. Зависимость VIF и индексов обусловленности показана на графиках. Остальная часть таблицы BKW раскрашивалась (от темно-синего для 0 к темно-красному для 1) и создавалось видео показывающее ее изменение при параметре от 0 до 1.
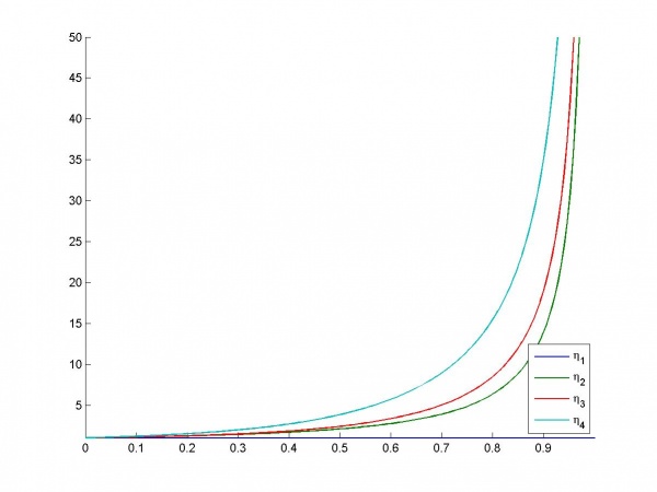
Пример 1
Используются два ортогональных признака ,
и третий признак
зависящий от параметра
. При
все признаки ортогональны, при увеличении
зависимый признак
приближается к
, вплоть до полной коллинеарности при
.
Зависимость VIF от параметра:
![]()
Как видно из графика VIF и
растет вплоть до бесконечности при
, VIF
при этом не изменен и равен 1.
Зависимость индексов обусловленности от
:
![]()
Таблица дисперсионных долей:
Видно что признаки и
связаны усиляющейся зависимостью, и что других связей нет.
Пример 2
Используется неизменный признак и зависящие от параметра
,
,
. При параметре равном 0 все признаки ортогональны, при его увеличении
,
,
одновременно начинают приближаться к
вплоть до полной коллинеарности при
.
Зависимость VIF от параметра:
![]()
Зависимость индексов обусловленности от :
![]()
Таблица дисперсионных долей:
Наблюдаются 3 зависимости - в самой сильной участвуют все 4 признака, во второй и
, и в самой слабой
и
.
Пример 3
Используется неизменные признаки ,
и зависящие от параметра
,
,
. ПРи параметре равном 0 все признаки ортогональны, при его увеличении
,
приближаются к
,
- к
вплоть до полной коллинеарности при
.
Зависимость VIF от параметра:
![]()
Зависимость индексов обусловленности от :
![]()
Таблица дисперсионных долей:
Наблюдается 2 основных зависимости - между ,
,
и вторая между
,
.
Исходный код
- Cкачать листинги алгоритмов можно здесь [1]
Смотри также
- Фактор инфляции дисперсии
- Мультиколлинеарность
- Метод наименьших квадратов
- Линейная регрессия (пример)
- Сингулярное разложение
- Методика Belsley
Литература
- Gianfranco Galmacci, Collinearity Detection in Linear Regression. Computational Economics 9:215-227, 1996.
- D. A. Belsley, A Guide to Using the Collinearity Diagnostics. Computer Science in Economics and Management 4: 33-50, 1991.
| | Данная статья является непроверенным учебным заданием.
До указанного срока статья не должна редактироваться другими участниками проекта MachineLearning.ru. По его окончании любой участник вправе исправить данную статью по своему усмотрению и удалить данное предупреждение, выводимое с помощью шаблона {{Задание}}. См. также методические указания по использованию Ресурса MachineLearning.ru в учебном процессе. |

